Ventriloquised voices: the Science Museum and the Hartree Differential Analyser
Article DOI: https://dx.doi.org/10.15180/181005
Abstract
This article builds on previous literature on museums and material culture by presenting an examination of the changing stories that a particular object — a rebuilt version of Douglas Hartree’s Differential Analyser — has been used to tell in the Science Museum, London. The analogy of ventriloquism is introduced to explore the ways that the object has been presented and interpreted in the Museum. It is used to illuminate how objects can carry the various meanings, interests, and prejudices (conscious and unconscious) of the human actors involved in their creation, collection and display. The article describes how the voices ‘ventriloquised’ through Hartree’s rebuilt ‘Trainbox’ have imbued this later version of the machine with the physical and instrumental functions of the original Analyser to make the object ‘fit’ with varying stories of computation, differential analysis, and models. The paper argues that the voices ventriloquised through the Trainbox have turned the object into the ‘material polyglot’ that sits in the Information Age gallery of the Science Museum today. The article concludes with the question of whether we can truly understand how objects change at the ‘hands-on’ level in museums, without including the simultaneous stories that an object shares with its audiences.
Keywords
engineering, material culture, Meccano toys, Models, Museum collections, Objects that speak
Introduction
https://dx.doi.org/10.15180/
Museums are at the mercy of object availability. This challenge remains as true today as it was in 1949 when Henry Calvert (Curator of Mathematics and Calculating Machines at the Science Museum) first borrowed the ‘Trainbox’ version of Douglas Hartree’s Differential Analyser from Hartree on a short-term loan. The object borrowed by Calvert forms a good test case for the usefulness of the analogy of ventriloquism, presented below, as a way of understanding how different voices can ‘speak through’ a museum object. The Trainbox is one of several machines created by Hartree across his career for different purposes of use and demonstration. Not only were different versions of the Analyser built at different stages by its creator, but also in its next life as a museum object different curators used the Trainbox version available to them to tell very different stories, in the context of different exhibitions. Thus, by using the Trainbox as an exemplar, this paper will explain the ventriloquism analogy as it might apply to museum objects generally. It will situate the concept within existing material culture literature, highlighting the varied ways in which the meaning and voices of objects are understood to change as part of a ‘voice-based’ theoretical approach to object analysis. A detailed investigation of how the object has been treated within the Museum will demonstrate that the voices ventriloquised through the Trainbox were used to imbue it with physical and instrumental characteristics from previous versions of the machine. These ventriloquised voices were often contradictory as the physical and instrumental functions of the object that the Museum actually had were very different from those of the original object constructed by Hartree during the interwar period.
The first section of this paper will describe the origins of Hartree’s ‘Trainbox’ – the object forming the core of this discussion. The second section introduces the analogy of ventriloquism in the museum context, situating it within existing material culture literature. The third section interprets Henry Calvert’s correspondence relating to the Hartree Differential Analyser from 1949–50. This correspondence shows how Calvert began to turn the Trainbox into what he needed in the Museum — a ‘working model differential analyser’ — by co-opting the voices of the physical and instrumental aspects of the 1934 object and ventriloquising them through the Trainbox. To assess the longer-term impact of these incongruities, the fourth section of the paper analyses the correspondence of Jane Pugh, Assistant Keeper at the Science Museum as it relates to the collection of Hartree’s Manchester Machine.[2] The fifth section of the paper will explore subsequent re-interpretations of the story of the Trainbox and the various attempts made by the Museum to ventriloquise new voices through the object between 1991 and 2003. This period includes the establishment of the Museum’s Model Walkway in 2000, which discusses the impact of this and new curatorial ideas about a ‘universal language of models’ (Woodcock, 2000). The final section of the paper will discuss the author’s personal experiences with the voices of the object in the Museum, recognising that these have continued to evolve and change as the object is incorporated into its most recent home: the Information Age gallery (opened in 2016). An analysis of the Trainbox as it is currently displayed will demonstrate that it continues to speak to audiences with all of its voices as a material polyglot.
Origins of the object
https://dx.doi.org/10.15180/181005/002In 1933 Douglas Hartree (Beyer Chair of Applied Mathematics at the University of Manchester) visited Vannevar Bush at the Massachusetts Institute of Technology to see his newly developed ‘differential analyser’. The MIT differential analyser was one of many that Bush had designed to mechanise the arithmetic processes of addition, subtraction, multiplication, and division (Crank, 1947, p 1). With eight integrating units, Bush’s differential analyser also mechanised the processes of calculus alongside these arithmetical functions, allowing the machine to numerically solve differential equations for which there was no formal solution (Crank, 1947, p 2). Observing the various gearing components, shafts, and wheels of this new mechanical computer, Hartree commented that the machine looked as if ‘someone had been enjoying himself with an extra-large Meccano set’ (Froese Fischer, 2003). On his return to the United Kingdom, Hartree immediately set about working with his research student, Arthur Porter, to develop their own version of the differential analyser. The Hartree Differential Analyser – created using the children’s construction toy Meccano – helped to reduce the complexity of differential equations that Hartree had researched during the First World War with his father, William Hartree.[3] After completing their differential analyser, Hartree and Porter used it to mechanise the process of integrating equations related to Hartree’s work on the Self-Consistent Field Theory.[4]
In contrast to Bush’s analyser, Hartree built his version with a single integrating unit (later increased to three and then four integrators). He described the Hartree Differential Analyser as having ‘exceeded all expectations’, increasing the accuracy rate of resolving equations compared to previously hand-computed processes (Hartree and Porter, 1935). The Meccano analyser could be configured to resolve a variety of differential equations.[5] It provided solutions to these equations — relating to fluid mechanics — through explaining changes in the momentum of an object as it moved through a space that contained different pressure levels and viscosities.[6] In comparison to the methodology of hand-computed equations, the Differential Analyser translated equations mechanically through the units of the machine from the input table to the wheel-and-disk integrating unit and through the torque amplifier, before automatically drawing the solutions as a curved line on the output table. Despite being created as a model to demonstrate this new methodology, the Hartree Differential Analyser ultimately ‘…turned out to be more than a demonstration model… [it was] capable of solving many equations with a considerable degree of accuracy’ (Hawks, 1934, p 441). The analyser initially had one, then three, then four integrating units, and was used by Porter for his MSc Thesis in 1935, calculating the atomic wave functions of Chromium atoms. The success of this Meccano model led Hartree to construct a larger differential analyser — the Manchester Machine, with eight integrating units — in 1935 with Metropolitan Vickers Ltd. However, instead of using Meccano, the pieces of the Manchester Machine were made to Hartree’s specifications by Metropolitan Vickers Ltd., helping to increase the mechanical accuracy of the machine, which was applied to many problems in the final years before the Second World War. The problems that the machine was used to resolve in these years related to the Control Theory, Heat-Flow Thermodynamics, and Fluid Dynamics, as well as being used to resolve more straightforward calculations that related to railway timetables.
While the original Meccano model analyser was stored in Hartree’s study, he and other members of the Servo Panel used the Manchester Machine at the Ministry of Supply throughout the Second World War. A number of these analogue machines were built in England and America in the years before the Second World War, and the increased requirement of computation and processing power during the war led to their use to resolve a number of equations relating to anti-aircraft and ballistics trajectories.[7]
Hartree’s focus shifted from analogue to digital computing methods as the war progressed, leading to his move to the Mathematics Section at the National Physical Laboratory. Working with a number of contemporaries, including John Womersley, Alan Turing, and John von Neumann, Hartree helped to develop the Colossus computer, the ENIAC, and the EDVAC in the final years of the war, advising and lecturing countries and governments on the benefits of this new system. His move away from the analogue computing and the Servo Panel meant that the running of the Manchester Machine shifted to his research students, Nicholas Eyres, Phyllis Nicholson, Jack Howlett, and Jack Michel, who continued to use it throughout the war. It remained in use at the National Physical Laboratory after the war, becoming available for collection in 1973, when half of it was collected by Jane Pugh at the Science Museum, with the other half collected by the Science and Industry Museum in Manchester.
After the Second World War, Hartree resumed his academic career at the University of Manchester, before being appointed Plummer Professor of Mathematical Physics at the University of Cambridge in 1946. His inaugural lecture ‘Calculating Machines: Recent and Prospective Developments and their impact on Mathematical Physics’, focused on his experiences in developing both analogue and digital computing systems. As part of his move to Cambridge, the original Meccano differential analyser that he had built with Arthur Porter was dismantled. Although his work increasingly focused on digital computing, Hartree salvaged some Meccano parts from the differential analyser and used them to rebuild a portion of the original model. He removed the input and output tables, turning this new version of the machine into a device that could be programmed with a single differential equation to demonstrate the mechanical methodology of integration. He made these changes so that he could easily transport the machine around the country to demonstrate the principles of mechanical integration in his public lectures, which he did between 1947 and 1949. The equation that he chose to pre-program into this new version measured tractive force as applied to railways, which led it (along with the glass case that Hartree transported it around in) to be nicknamed the ‘Trainbox’. Initially loaned to the Science Museum in 1949, it is the Trainbox version of the Hartree Differential Analyser that forms the subject of this paper.
Ventriloquism, museums and objects
https://dx.doi.org/10.15180/181005/003This paper proposes the analogy of ventriloquism as a way of extending the discussion about how objects speak and tell different stories in museums. Although there are limitations to this analogy — objects do not literally speak to audiences — these objects are essentially on a stage to be viewed and ‘listened to’ by visitors to the museum. In a theatrical context, ventriloquism is a comedic convention that is seen and understood by audiences to be performed by the puppeteer, whom the audience willingly ignores. While Museum staff do not literally sit next to the Hartree Differential Analyser on show, I would argue that their presence behind the scenes in cultivating and editing the voices of the object renders them ventriloquists in their own right. This ‘voice-based’ analysis of the Hartree Differential Analyser allows us to explore how the different voices, stories and physical and instrumental functions of the Trainbox have been changed in different contexts and circumstances within the Museum. The functions I am concerned with here relate in part to the physical form of the object; the Trainbox had a single-integrator and no input or output tables, yet the voices ventriloquised through it indicated it was a ‘full-size’ analyser. An example of the instrumental functions affected by the process of ventriloquism includes the Museum’s descriptions of the Trainbox as a ‘working differential analyser’ used during the Second World War, instead of a machine created with parts of the original in 1947.
The ventriloquism of the voices of the object is distinct from the process of object re-interpretation, which is a necessary aspect of the work of museums, stemming from their core missions: to preserve objects and use them to educate their audiences, without destroying or damaging the object in the process.[8] However, as many of these objects cannot be physically altered or used in a way that risks damage, museums have to change the voices with which an object speaks to an audience. These new voices are often required because collected objects are either displayed in a static, ‘non-working’ way (to avoid damage) or have had parts changed or removed from them before their collection, altering their original physical and instrumental characteristics in the process. This leads these types of objects — including the Hartree Differential Analyser — to be ventriloquised, provided with new voices to evoke previous physical and instrumental aspects of the original version of the object. Interestingly, this analysis of the voices of the Hartree Differential Analyser demonstrates that some of the new voices ventriloquised through the machine are not linked to previous aspects of the object but have been created to allow the object to tell new stories.
Samuel Alberti discusses the idea that objects have significant ‘ages’ relating to how their status and stories have changed during their careers in the museum (Alberti, 2005, p 560). The idea of ventriloquism builds upon Alberti’s work: it shows that Hartree’s Differential Analyser has not been ‘mute’ or had a ‘stable meaning’ since it was collected by the Museum in 1949 but instead has been encountered by collectors, curators, and audiences in diverse and varied ways (Alberti, 2005, pp 560–562:571). Through exhibit labels, cataloguing information, and re-interpretation by the Museum, the object has gained a number of different voices, which are in continuous dialogue with its audiences in the Information Age gallery today.
The idea of objects ‘speaking’ was a development of the ‘material turn’ within material culture, which has its roots in the 1980s and has developed into the new century. Two examples of this literature are relevant to the focus in this article; the first is Christopher Tilley’s work on the similar metaphorical meanings of objects and language, and the second is Lorraine Daston’s book Things That Talk, in which she discusses objects that ‘speak’ (Tilley, 1999; and Daston, 2004). Tilley’s argument that material culture must be understood through metaphor in the same way as language, invokes the idea that our understanding of objects as things is premised on the fact that they are highly malleable, according to the specific cultural factors and attributions we place upon them (Tilley, 1999, p 14). This type of a semiotic approach to objects will feature in the analysis of the different versions of the Hartree Differential Analyser in this paper. Complementing Tilley’s ideas of object metaphor and language, Daston argues that the way in which an object speaks evolves, such that changing contemporary meanings that we place on objects become compounded, eventually creating multiple layers of meaning. She explores her ideas using the example of Peacock Island (a world heritage site with a fairy-tale castle on an island in Berlin’s Havel river), arguing that the layers of meaning present on the island are the result of a history of different cultural functions, each of which leave deep impressions in the landscape (Daston, 2004, p 101). According to Daston, things talk in their ‘own’ voice, rather than merely repeating or playing back the human voice (Daston, 2004, p 10). Her assertion that our understanding of objects (as ‘loquacious palimpsests’) is based on their layered meanings is central to the case study in this paper, which argues that the differential analyser is an example of a ‘material polyglot’ that speaks to audiences with all of its voices at the same time (Daston, 2004, p 11).
The notion that an object has different voices is similar to Steven Shapin’s idea of multiple technologies – material, literary and social – in his article ‘Pump and Circumstance’ (Shapin, 1984, pp 481–520). Focusing on Robert Boyle’s Air Pump, Shapin discusses each of these technologies individually to demonstrate how Boyle used them to increase the impact of his experimental works and to establish them as ‘matters of fact’ (Shapin, 1984, p 484). Borrowing from Shapin’s way of splitting an object into different aspects, this paper adopts a similar methodology exploring voices rather than technologies. The core theme of this literature is that as the cultural narrative changes, so too does the museum, whose role it is to stay relevant to its audience, something it achieves through changing the narrative of its objects (Vergo, 1989; Kavanagh, 1990; Falk and Dierking, 1992; Dudley, 2010; and Dudley, 2012). Thus, objects gain meaning based on changing cultural factors, and their narrative changes over time when they are used to tell a story as part of a specific cultural narrative (Pearce, 1992; Elsner and Cardinal, 1994).
An alternative way of understanding how objects change in museums is by exploring accessioning, the process by which objects are classified and categorised when they are added to museum collections. In 2014, Jody Joy, a Senior Curator of Archaeology and Anthropology at the University of Cambridge, described how the process of accessioning ‘…has the effect of resetting the biography of the object making it a very different thing as it becomes part of a museum collection’ (Joy, 2014). This interpretation of the process of accessioning – as a way of changing an object’s narrative – is framed by the idea that objects have biographies. Ethnographic historians developed the idea of object biographies in the 1980s to explain the change in the identity of objects in specific cultural settings (Appadurai, 1988, pp 64–95). However, there have been many critiques of this approach which suggest that this idea places too much emphasis on specific ethnographic identities of an object at the expense of its broader narrative, while also making the object a passive part of the subject/object dialectic (Latour, 1993; Pinney, 2002; Wollen and Kerr, 2002; and Harvey, 2009). It follows that using concepts of object biography to understand an accessioned object would place too large an emphasis on specific aspects of the object’s identity at the expense of others. The example Joy uses is a Palaeolithic hand axe in the Cambridge gallery. The label attached to the hand axe describes it as a ‘Hand axe knapped around [a] fossil shell, Palaeolithic (about 400,000 years ago), Elvedon, Suffolk’ (Joy, 2014). This object biography gives a time frame for when the object was made, describes its physical form, and gives a geographical location for where it was discovered. However, it does not attempt to tell the story of the object beyond these specific aspects, meaning that this is the only information that museum visitors will take from viewing it. As an alternative, contemporary material culture literature advocates that objects need to be approached as things that could (and should) ‘speak’ with their audiences (Daston, 2004).
In contrast to Pearce and others, Eileen Hooper-Greenhill adopts a more ‘internal’ view of understanding how objects change in museums. Eschewing the role of external cultural changes, she asserts that the narratives of objects are dominated by policy shifts within the museum, such that by themselves, objects have no essential identity other than that which the museum gives to them (Hooper-Greenhill, 1992, p 191). Kevin Moore develops this argument by emphasising the importance of observing the governing documents of museums when trying to understand how and why the narratives of objects are changed (Moore, 1994, p 23). However, this institutionally-focused approach to understanding how object meanings change is as problematic as the exclusively culture-driven explanations explored above (Durant, 1992; Butler, 1992; Findlen, 1994; Kaplan, 1996; MacDonald, 1998; and Morris, 2010). Both approaches rely on single factors as explanations for change, underplaying the agency of the object in the process. Where traditional literature has described objects collected by museums as being ‘wrested from their setting and alienated to perform’ (Pope-Hennesy, quoted in Hall, 1987, p 11), this paper will argue that the opposite is true. It demonstrates that the Science Museum has imposed many different voices upon the Hartree Differential Analyser in an attempt to place the object back into previous contexts, changing the voice and meaning of the object in the process.
The ‘Working Model’: Calvert’s classification
https://dx.doi.org/10.15180/181005/004The initial loan of the Trainbox Differential Analyser to the Science Museum in May 1949 led Henry Calvert to pen the first of many letters to Douglas Hartree regarding the Museum’s collection and reclassification of the object. Calvert’s initial letter to Hartree was written on 1 June 1949. In it, Calvert asks if he ‘…should…be right in saying that this model was the first working Differential Analyser in [Britain]…’ and argues that if so, it deserved to ‘be preserved’.[9] This part of Calvert’s letter shares similarities with the mission statement of the Science Museum at the time, which called for the ‘…preservation of appliances which hold an honoured place in the progress of science’ (Lyons, 1978). Calvert’s wording ‘…should I be right…’ implies that he had a suspicion that the Trainbox he had just collected did not speak with the same voices as the original 1934 object. After the war, Calvert had sought a significant differential analyser item for the Science Museum’s collection, to help tell the story of analogue computing. Therefore, his attempt to clarify whether the object was ‘the first working differential analyser’ was an example of a curator checking the voice of the Trainbox to see if it could tell the story of differential analysis that he required. In 1949, the locations of other differential analysers – similar to the Hartree Differential Analyser and the Manchester Machine – were not well known, with many having been destroyed in the Second World War or kept in private collections (Froese Fischer, 2003). With this in mind, Calvert’s question regarding the provenance of the machine (‘Should I be right in saying that this model was the first working Differential Analyser in this country?’) takes on a new meaning. It appears to be an attempt to check whether the Trainbox could tell the same story of differential analysers as the part of the Manchester Machine he was also trying to collect. This is demonstrated further in the last paragraph of Calvert’s first letter, in which he requests that Hartree or one of his students visit the Museum to help ‘put it in working order’.[10]
Hartree’s reply on 7 July 1949 reads as an attempt to clarify Calvert’s question of whether the object now in the Museum’s possession was the ‘…first working differential analyser [in Britain]’.[11] Hartree began by asserting that while there is a link between the collected object and the 1934 object, they were not the same and that ‘…more accurately, what is preserved is a portion – enough to illustrate all the main principles – of the first working one in Britain’.[12] This confirms the physical and instrumental changes that Hartree made to the object when he rebuilt it in 1947, giving his perspective on what the Trainbox was, relative to the original object: in his view it was no longer a ‘working model differential analyser’ as he had described the Meccano model in 1935 (Hartree and Porter, 1935). Hartree intended the Trainbox to be a working model of a differential analyser, which could demonstrate the principles of mechanical integration using a single, pre-programmed calculation, implying that he had moved the voice of the Trainbox away from the original voice of the Hartree Differential Analyser as a working machine.
The technical differences between the two incarnations of the Hartree Differential Analyser are that the original object, built in 1934, had four distinct integrators, and an input and output table, while the Trainbox that Hartree rebuilt in 1947 had only a single integrator, and no input or output tables. The integrator was a central component of the original set of instrumental functions of the differential analyser, indicating what type of differential equations it could solve. Having four integrators meant that the original object could solve anything up to a second-order differential equation, while the single integrator on the Trainbox meant that it could only be used to demonstrate how first-order differential equations are integrated (as it had no output table). The difference in function between the two analysers is clear: one could resolve equations, the other could merely show how the object could resolve them. In a mathematical context, this difference in function is essential to understand in order to demonstrate why there were incongruities between the voices that Calvert ventriloquised through the Trainbox and those that it initially spoke with as a demonstration object. These differences relate to the number of the highest derivative present in the equation the object is resolving.
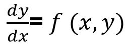
First-order differential equations are referred to as such because they only involve the first derivative (y’):

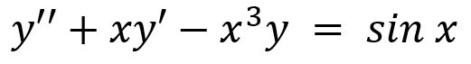
While there are many examples of first-order differential equations, one type that the Hartree Differential Analyser would have been used to resolve were those related to fluid mechanics (Hartree, 1946). The solutions to these equations helped mathematicians during the Second World War plot the trajectory of a plane more precisely, and therefore, calculate how best to hit them using ballistic anti-aircraft guns (Crank, 1947). The Trainbox, built after the war, was designed to demonstrate the first-order equation of tractive force as applied to railways. However, unlike the original 1934 object, the Trainbox could not resolve second-order equations. The difference between first- and second-order equations is that with the latter, the number of the highest derivative is of the second order (y”) rather than the first. An example of a second-order differential equation is:

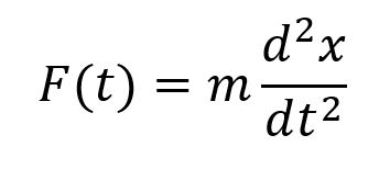
An easier way to understand these second-order equations is to think of Newton’s Second Law of Motion, which establishes force (F) acting on mass (m) and the acceleration (a) that the force causes. Written as a second-order ordinary differential equation Newton’s Second Law is as follows:

The solution to this equation would demonstrate the velocity of an object and the law of motion when the force applied to an object depends on time. The first derivative (v’) relates to the velocity of an object where acceleration

is the rate of change of velocity (the derivative of velocity with respect to time). The second derivative (x’’) relates to velocity as the derivative of the position of the object with respect to time, such that it measures the derivative of the derivative of the position of the object with respect to time; it measures the change in metres per second, per second

These different derivatives (whether first- or second-order) would have been programmed into the Hartree Differential Analyser as mechanical inputs. The role of the integrator was to take these derivatives (programmed through the input table) and return the net change of the equation as a mechanical output. The solution to the equation was then expressed graphically via the output table. By contrast, the Trainbox could not be re-programmed with new first-order equations as it had no input or output tables. The removal of these pieces had led Hartree to pre-program the machine with a single equation to demonstrate how the variables could be seen to move through the mechanical components of the machine physically.
Understanding the importance of the integrator and the input and output tables in resolving differential equations helps to highlight the impact that their absence had on the voices of the rebuilt Trainbox. Hartree was aware of the different function of his rebuilt object without these tables, commenting that it could only ‘demonstrate the main principles of the original’.[13] Hartree’s choices when rebuilding the Trainbox changed the voices that it spoke with to audiences. However, because the Trainbox could ‘demonstrate the main principles of the original’ object, it still retained some instrumental functions of the original 1934 object. These similar instrumental aspects allowed Calvert to ventriloquise the voices Hartree had created with the 1934 object through the Trainbox to tell the particular story of differential analysis he needed, demonstrating that the voices of the object have multiple sources (Hawks, 1934, pp 411–444).
This process began on 14 July 1949, when Calvert received a letter from Hartree explaining that through his discussions with John Womersley, the first superintendent of the Mathematics Division at the National Physical Laboratory (NPL), he could confirm to Calvert that ‘[they would] probably want to keep their (full-size) d. a. for 3 or 4 years for institutional and training purposes’.[14] When it became clear that the Manchester Machine would not be available, Calvert used the object that he had in hand — the Trainbox — and began to ventriloquise the voices of the original object, so that the Trainbox could tell the story of a working differential analyser. He began this process with a loan request form sent to the Director of the Science Museum on 15 July 1949. The form stated that ‘Professor Hartree…offers to lend a meccano model of a Differential Analyser to the Museum’ (emphases added).[15] The emphasised words reveal that Calvert understood that the Trainbox was a just a ‘portion of a differential analyser’. However, the rest of his loan request form demonstrates his attempts to ventriloquise the voices of the original object through the Trainbox. This is evident in how his description of the Trainbox changes from a model ‘of a’ Differential Analyser to:
This meccano model was the first working Differential Analyser outside the U.S.A…after Prof. Bush had built the machine…Prof. Hartree made this working model of it, which would actually solve equations.[16]
emphases added
Calvert’s use of the demonstrative adjective ‘this’, as well as the words ‘was the’ when describing the object’s past, conflates the voices of the original Hartree Differential Analyser’s physical and instrumental functions (the working model differential analyser) with those of the Trainbox (the working model of a differential analyser). This conflation continued in the next sentence of the loan form, which described that Hartree had built this ‘working model’. This implies that what the Museum had was the object Hartree had built in 1934 which could ‘actually solve equations’.[17] Despite the incongruities that existed between the voices of the two objects, Calvert’s ventriloquism served to collapse the physical and instrumental gap between the functionality of the two objects, conflating them and presenting the original object and the Trainbox as the same thing. This is clear in Calvert’s next sentence which describes how ‘…this working model demonstrated the usefulness of the machine and as a result, a large one was constructed at Manchester University’ (emphasis added).[18]
Through this note, Calvert moved the voices of the Trainbox from being ‘a portion’ (as described by Hartree), through ‘the meccano model of a differential analyser’, and the ‘working model’ that Hartree built in 1934, to, finally, an object that served as a ‘proof-of-concept’ for the Manchester Machine. These alterations were made to allow Calvert to ventriloquise the voices of the Trainbox to tell the story of differential analysis that he wanted to tell. His attempts to ventriloquise the voices of the object are also clear in a letter sent to the Director of the Science Museum, in which he explained that ‘…the usefulness of the model to the Museum would be to enable us to show it in operation to demonstrate the principles… Hitherto we have only exhibited photographs of the Manchester Machine’.[19] In the same form, Calvert used the term ‘in operation’, which implied the Trainbox was a ‘working model’.[20] This contrasted with his use of the phrase ‘demonstrate the principles’ later in the form, which borrowed from Hartree’s original set of voices for the Trainbox.[21]
A more significant challenge that Calvert faced — beyond the incongruities between the original and ventriloquised voices of the object — was that the Trainbox had been broken down into components as part of the collection process in 1949. As a dismantled object, it could not speak with any of the voices he was trying to ventriloquise through it. To resolve this issue, Calvert wrote to Hartree again on 3 March 1950 to remind him of the offer to visit the Museum to ‘…put [the object] back in working order’.[22] Calvert’s request reflected the way in which he had changed the voices of the Trainbox with his description of ‘a Meccano model of the Differential Analyser’, supplanted by the statement in the following sentence that ‘the machine is now installed in a case’ (emphasis added).[23] Calvert’s choice of the word ‘machine’ over ‘model’ appears not to be accidental here, but represents another way of transferring the physical and instrumental aspects of the original object (i.e. those relating to the physical form of the object and those relating to its function) to the Trainbox. This conclusion is reinforced in the rest of the sentence, which explains that ‘…the machine is now installed in a case and is ready to connect to the mains’.[24] The phrase ‘ready to connect to the mains’ demonstrates that although the object was missing an input and output table, which precluded it from being a ‘working model’, Calvert was still attempting to ventriloquise the voices of the original ‘working model’ analyser through the Trainbox.
When Hartree did eventually visit the Museum on 18 July 1950 (sudden bouts of sickness had prevented him twice previously from doing so), he spent two hours with Calvert showing him the different aspects of the Trainbox object and how each part functioned.[25] Based on the archival record available, this was the last interaction between Hartree and Calvert regarding the Trainbox until 1957, when a branch of the Institute of Physics in Manchester requested to borrow the object from the Science Museum. In the final letter that Hartree sent to Calvert on 5 April 1957, he regarded the ‘…meccano model differential analyser as entirely at the Museum’s disposal…’ and that the loan request from the Manchester Institute of Physics had been at his suggestion.[26] He also offered his services to visit the Museum to fix the model should it return with some minor damage.[27] However, Calvert never requested Hartree for help in repairing the differential analyser as Hartree died of heart failure on 12 February 1958 at Addenbrooke’s Hospital in Cambridge (Froese Fischer, 2003).[28]
The above analysis of the correspondence between Calvert, Hartree and the Director of the Science Museum demonstrates the various ways that Calvert attempted to ventriloquise the voices of the original object through the Trainbox. Calvert’s ventriloquy caused incongruities that lay dormant within the object as it passed into the care of future curators in the Museum. The voices that the Trainbox had spoken with through its accession documentation and correspondence, and the instrumental and physical stories it was used to tell when on exhibition, were not consistent with the actual object on display. When Jane Pugh (who worked with the Trainbox from 1973–74) used it to create the Museum’s new Mathematics and Computers gallery, she had to find a way of reconciling the ventriloquised voices of the analyser with the object in the Museum’s collection.
The 'Mathematics and Computers' gallery, the Manchester Machine, and the National Physical Laboratory
https://dx.doi.org/10.15180/181005/005Assistant Keeper Jane Pugh wrote her first letter about the Hartree Differential Analyser on 5 November 1973 to Jack Diamond (a Professor at the Simon Engineering Laboratory in Manchester). Through the lens of ventriloquism, her letter reflects the impact that Calvert had in changing the voices of the Trainbox, and the challenges that these new voices caused due to their incongruous relation with the object’s physical form.[29] Pugh explained to Diamond that a new gallery was in development at the Science Museum called ‘Mathematics and Computers’, for which she enclosed a list of potential objects and the gallery layout.
Pugh wrote that she had been searching for more pieces for the exhibition on differential analysers. However, the only success she had had was with ‘Dr. [Arthur] Porter [who had] kindly given [them] the logbook of the first large Manchester machine, and we already have a Meccano model differential analyser made by Hartree and Porter’ (emphasis added).[30]
The letter is fascinating in that it demonstrates both the strength of Calvert’s ventriloquism, and Pugh’s understanding of the incongruities it presented. On the one hand the language in the letter demonstrates the extent to which Calvert’s ventriloquism had changed the Museum’s understanding of the Trainbox; Pugh’s phrase ‘a Meccano model differential analyser made by Hartree and Porter’ indicates that she thought the Trainbox was the original object that had been created in 1934 by Hartree and Porter, and not the model rebuilt in 1947 by Hartree. Her use of the phrase ‘model differential analyser’ also implies that at the ‘hands-on’ level in the Museum, the voices of the original 1934 object had been successfully ventriloquised through the Trainbox, changing the Museum’s internal understanding.
On the other hand, the rest of Pugh’s letter hints at her knowledge that the object had a number of incongruities that meant it could not effectively tell the story of differential analysis as a result. Pugh describes her intention to make the exhibit on differential analysers in the Mathematics and Computers gallery ‘…the only one of its kind in the country…as complete as possible by addition of parts from the Manchester machine’.[31] The phrasing of her desire to make the gallery ‘as complete as possible’ through collecting other material implies that Pugh understood that the Trainbox was insufficient to tell the story. Her assertion that the exhibition would be ‘…immeasurably enhanced by the addition of parts from the Manchester machine’ implies that Pugh was aware that the Trainbox was not physically the same object as the 1934 model that had served as a proof-of-concept for the Manchester Machine and so could not be used to tell the stories of differential analysis in the same way that it had previously.[32]
Pugh’s other correspondence from this period indicates that her concerns about the provenance of the Trainbox began after discussions with Professor John Crank (a former student of Hartree’s) about the role the analysers played in the Second World War. Through their discussions, Crank explained the differences between Hartree’s and Porter’s original model and the ‘Trainbox’ that Hartree had created in 1947.[33] It was as a result of these discussions that Pugh contacted Arthur Porter to provide further context on his and Hartree’s work. Porter replied, sending Pugh a number of papers, notes, and letters related to his work on the 1934 object as well as the Metropolitan Vickers Logbook that detailed the construction of the Manchester Machine in 1935.[34] These sources described an analyser with both an input and output table that could resolve many differential equations and produce graphical outputs (Porter, 1934; Hartree and Porter, 1935; and Hartree, 1946). Clearly the Trainbox that Pugh observed in the Museum was much smaller and did not have input and output tables. Pugh began to question the provenance of the Trainbox, visiting Jack Michel (another former student of Hartree’s) at the NPL to learn more about the work he had done with Hartree and about the use of the differential analyser during the war. In the reflective report she wrote after the visit, she described how Michel’s explanations of the original 1934 analyser helped to resolve the questions she had had about the challenging provenance of the Museum’s ‘small meccano d. a.’.[35] She recounts Michel’s explanation as follows:
After Hartree’s Meccano d.a. was broken up, Hartree retained some pieces which he had made up into a single integrator d.a. These could be easily packed up into a single case and transported for giving lectures. He used it for the problems of tractive force: as applied to railways.[36]
Michel’s explanation made it clear to Pugh that the original analyser and the Trainbox were two distinct objects. This information was revelatory for Pugh, who wrote: ‘This seems to be a very likely explanation! I had heard of Hartree’s ‘train box’ from Prof. Crank, but had not connected it with our Model!’[37] This disconnect in Pugh’s understanding of the object demonstrates the success of Calvert’s ventriloquised voices in changing how the object was subsequently understood and exhibited at the Museum.
In contrast to Calvert’s correspondence, it is essential to understand that Pugh’s questions about the provenance of the Trainbox represent her attempt to revisit the voices ventriloquised through the Trainbox and amend them; the Museum’s success in collecting part of the Manchester Machine in 1974 meant that Pugh now had an alternative way of telling the story of differential analysis. Therefore, her work to determine the provenance of the Trainbox represented her attempts to ventriloquise new voices for the object to make sure they more accurately reflected the functions of the object itself as she now understood them. The acquisition of the Manchester Machine was vital in this process, and its importance was reflected in the handbook for the new Mathematics and Computers gallery. Here the differential analyser exhibit, which contained the part of the Manchester Machine and the Trainbox, was described as follows:
As can be seen from the University of Manchester Machine, rebuilt especially for this exhibition, early differential analysers were entirely mechanical, with integrators and other units interconnected by driving shafts.[38]
This label for the part of the Manchester Machine sat next to the Trainbox that was also on display. As the Trainbox was just a single-integrator from the original Hartree Differential Analyser with no input or output tables, this label would have highlighted the incongruities of the description attached to the Trainbox, of an object that was a ‘working model differential analyser’.
The handbook that accompanied the gallery contained very few details relating to the Trainbox object that was on display. This is not surprising given the content of Pugh’s reflective report, and her new understanding of the incongruous relationship between the previous ventriloquised voices and the physicality of the object itself, a demonstration model that only had a single integrator connected to no other units. The collection of the Manchester Machine allowed Pugh to tell the story of differential analysis and attempt to re-ventriloquise the voices of the Trainbox in the process. Yet Calvert’s ventriloquised voices – and the incongruities they caused – remained a part of the Trainbox. Despite Pugh’s best efforts to ventriloquise the object with a voice closer to the evidence she had found, the incongruous ventriloquised voices continued to dominate subsequent interpretations of the analyser throughout the next two decades, until the establishment of the Museum’s Model Walkway in the year 2000.
Universal language and the new ‘working model’
https://dx.doi.org/10.15180/181005/006Curator Doron Swade made handwritten notes on two letters about the Hartree Differential Analyser received in 1991 and 1997. These notes and the Museum’s response to these letters highlight how, despite the re-display and re-interpretations of the object, past ventriloquised voices continued to create challenges and confuse the new voices with which the object was made to speak.
Swade’s first note was scribbled on a letter written by Jenny Wetton, Curator of Science at the Museum of Science and Industry, Manchester, on 27 November 1991. Wetton wrote regarding an object in the MOSI stores that had been labelled as part of the Manchester Machine.[39] Her letter enclosed a photograph of the object and requested the Science Museum’s help in identifying it. The Museum’s response confirmed that it was not part of the Manchester Machine, but perhaps more interestingly Swade’s note reads: ‘As I recall Diff An. is in process of transfer to Computing but presently remains with Maths.’[40] It is clear from this that the Museum was in the process of separating the Trainbox and the Manchester Machine. Swade also wrote a handwritten note on a letter received on 29 April 1997 from Peter Bunce (a visitor to the Museum and self-confessed ‘Meccano Boy’). Bunce’s letter requested copies of the written materials that accompanied the Trainbox which was on display in the Museum at the time.[41] Again, Swade wrote: ‘I believe that the Meccano Model of the Diff Analyser is in Maths not Computing.’[42] Rather than ventriloquism, Swade’s notes imply that the interpretation of the voices of the objects had changed, with the Manchester Machine moving to the computing gallery to tell the story of analogue computers, and the Trainbox being retained in the mathematics gallery to tell the story of differential analysers. This type of re-interpretation of the stories of objects is a common practice in museums, as curators move objects between different contexts of categorisation and display. Despite this re-interpretation of the Trainbox as a mathematical rather than computing object, its ventriloquised voices – and the incongruities between them – continued to impact the Museum’s understanding of the object, and this is reflected in the Museum’s response to Bunce’s letter.
In responding to his request for documents that featured in the 1997 Trainbox display, the Museum sent Bunce a number of items that described the object at various times since it had been collected. The first document was a copy of the label that accompanied the 1997 Trainbox display. The title of the label described the Trainbox as a ‘Single-integrator differential analyser made from Meccano’, echoing Calvert’s ventriloquised voices that spoke of a ‘working model’ differential analyser.[43] By contrast, the label text explained that the object was ‘…constructed by Hartree as a demonstration model for use in lectures…used to solve problems of tractive force’, echoing the original voices of the Trainbox that Hartree built in 1947. The incongruities between these two aspects of the label are further confused when Swade’s handwritten description of the object as a ‘Meccano model of a differential analyser’ (emphasis added) on Bunce’s initial letter is also considered. The contradiction between these different understandings of the Trainbox demonstrates that despite its re-interpretation, it retained elements of the original and ventriloquised voices created by Hartree and Calvert respectively.
Bunce was also sent photocopies of a 1934 Meccano Magazine article on the Hartree Differential Analyser, an explanatory text on the methodological principles of differential analysis written in 1957, and a Meccano Magazine article from 1973. Taken together, these three reveal the complexity of the identity of Trainbox. The 1934 Meccano Magazine article described a ‘…remarkable Meccano mechanism…that solves complex mathematical problems with uncanny speed and accuracy’, reflecting the voices of the instrumental functions of the original differential analyser (Hawks, 1934, pp 441–444). The explanatory text, written in 1957, describes the Trainbox as: ‘…mainly built from Meccano parts…the first effective general purpose “analogue” computer.’[44] This represents a different set of voices from the 1934 article and the 1997 object label, demonstrating that the Museum’s understanding of the object was still ultimately based on (and confused by) the voices that Calvert had ventriloquised through the Trainbox in 1949–50.
The 1973 Meccano Magazine article sent to Bunce further reveals this confusion over the status of the Trainbox in the Museum. The article discussed the potential location and continued use of both the original machine and the rebuilt Trainbox as if they were different objects:
The exact facts are a little hazy…one of the machines – I do not know whether it was the original version – was taken to New Zealand… [and is] believed to be the sole survivor of the years…the first Meccano computer is still in existence, property of the Science Museum in London, although I have heard that the more interesting parts have been loaned to I. B. M.
The assertion that the more ‘interesting parts’ of the Hartree Differential Analyser were sent to IBM is incorrect. It merely added to the confusing number of different stories and interpretations of the Trainbox based on its different voices.
Despite this lack of clarity, the creation of the Model Walkway in 2000 as part of the Making the Modern World gallery changed the Museum’s approach to the Trainbox and led to the development of a new set of voices that were subsequently ventriloquised through the object. The permanent Making the Modern World gallery was created in 2000 and is still open today. It places historical objects as part of a presentist chronological narrative in which objects are situated as part of the development towards modernity, rather than displayed within their original contexts. The Model Walkway is a long, raised display corridor overlooking the main gallery. It is one of four strands in gallery, the other three being Technology in Everyday Life, Iconic Objects, and Themed Displays based around a chronology of technology from 1750 to the present day (Woodcock, 2000).
The Model Walkway policy document describes a characteristic of models as things that speak a ‘universal language’ (Woodcock, 2000). The Walkway displays objects from eighteenth-century fire engines and nineteenth-century steam trains to twentieth-century Barbie dolls, representing a miniature microcosm of the main Making the Modern World gallery below, and encouraging visitors to think about the changing role of technology over time (Woodcock, 2000). The notion that all models share a universal language – as things that have ‘many of the characteristics of the real objects’, albeit in miniature form – corresponds with the wider literature on models, which asserts that the general trend in museums has been a move towards using models in exhibits because they represent accurate reconstructions of larger or unobtainable objects and machines (Kavanagh, 1990, p 43). The Model Walkway effectively ventriloquises a new voice through objects, implying that all models speak with a universal language, which conveys the ways that they have changed, from tools of education and interpretation to forms of commercial persuasion and scientific confirmation. These models – whether historical or newly commissioned – serve a useful purpose in the Science Museum as they are understood to communicate realities of the material world that are too large or too small to be understood at a glance.[45] The distinctive mode of representation offered by models – as objects that have been employed in a variety of settings – invoke different ways of seeing, which allows audiences to appreciate the features of larger machines in miniature (de Chadarevian and Hopwood, 2004, p 39:110). However, critics of the use of models in museums argue that taking models outside of the laboratory context can ‘lead to powerful fictions being constructed’; they argue that the lack of proper contextual information for models – when on display – can lead to a wide variety of interpretations that deviate from the original intention of the object (Lightman, 2016, p 577; Vergo, 1989, p 31). Though not included directly as part of the interpretation of the Model Walkway, this new universal language of models was discussed and accepted among Museum staff and became part of a set of voices that the Trainbox was made to speak within its own display.
With the Trainbox now on permanent display, the Science Museum sought to formalise the terms of its stewardship of the object and potentially acquire it for its collections. A loan request form was initially sent by David Chalkley (Documentation Section of the Science Museum) to Douglas Hartree’s son Richard in 2003 and the object’s new voices can ‘be heard’ within the form. In it, Chalkley designated the Trainbox as a ‘working model of a differential analyser constructed from the construction toy Meccano’.[46] In contrast to Calvert’s own use of the phrase ‘working model’, which referred back to the physical and instrumental aspects of the original 1934 model, this new use of the phrase ‘working model’ related to the universal language of the Model Walkway, which framed the Trainbox as a working model representation of the Manchester Machine, albeit on a smaller scale. This idea of the Trainbox as a smaller working model of a larger object echoes Pugh’s description of the ‘small meccano d.a.’ in 1974.[47] It is also possible to discern elements of Calvert’s ventriloquised voices in Chalkley’s designation of the Trainbox as a working differential analyser rather than the ‘portion’ that Hartree had originally intended the object to be when he rebuilt it in 1947. This ventriloquising of the universal language of the ‘working model’ through the object is another example of how the Museum has changed the voices of the Trainbox. However, compared to previous voices, those relating to this new ‘working model’ were the first example of a set of ventriloquised voices that were external to the object. Hartree’s voices were based on the changes he made to the object in 1947; Calvert’s ventriloquised voices were a response to the need to make the object tell a certain story in 1949; and Pugh’s voices were an attempt to better understand the provenance of the object in 1974 due to the contradictions of Hartree’s and Calvert’s different object voices. The Model Walkway ventriloquised curatorial voices that emerged in the context of new museological concepts.
The final section of this paper will approach the Hartree Differential Analyser as it sits in the Information Age gallery today, establishing that through re-interpreting the object within this context, the Museum has also ventriloquised a new set of voices. It will demonstrate that the Hartree Differential Analyser speaks with all of its various voices today in the Information Age gallery, supporting the idea that it is a material polyglot object.
Epilogue: the object today
https://dx.doi.org/10.15180/181005/007
In September 2015, on my first visit to the Science Museum, the Trainbox had been removed from exhibition in the mathematics gallery in preparation for its move into the web exhibit of the then-new Information Age gallery. While the object on display is the Trainbox that Douglas Hartree built in 1947, elements of its interpretation appear to be confused, with references made to it as either the Trainbox, the original Meccano model, the stopgap before the Manchester Machine, or the Hartree Differential Analyser. This confusion remains in 2018 – the object on display today has a label that reads ‘A working model of a differential analyser, 1934’. In contrast to previous displays of the Trainbox, which had focused on the central theme of differential analysis, the story that the object is used to tell in this exhibit is different, suggesting that within this re-interpretation the object speaks with a new set of voices. To better understand what these voices are, we must understand that the Trainbox sits alongside five other objects in the following order:
- A model of the first transistor from 1947
- A paper on Boolean algebra and thermodynamics from 1948
- Alan Turing’s work ‘On computable numbers’, 1936
- A working model of a differential analyser, 1934 [the Trainbox]
- The logic door from a Ferranti Mark I computer, from 1951
- An image of Turing and colleagues working on the Ferranti Mark I, from 1951
At first glance, this collection of objects implies that the theme of the exhibit is a chronology of British computing from the period between 1930–1950, featuring Turing, Hartree, and Ferranti. However, a closer observation of the order of the objects and the labels in the exhibit shows that the Trainbox – despite being the earliest object chronologically – comes fourth in the order of display.
In a Q+A session after a research seminar on the Differential Analyser I gave in October 2017, Tilly Blyth (Head of Collections and Principal Curator at the Science Museum) explained her perspective that the Trainbox – as part of the larger original analyser – was intended to represent Douglas Hartree’s work and impact within the areas of both analogue and digital computing (Ritchie, 2017). This story is evident on the label attached to the Trainbox, which is dedicated to the career of Douglas Hartree. However, as well as this label, there are a number of other texts associated with the object demonstrating that the Trainbox – labelled as a ‘working model of a differential analyser’ – still speaks with some of Calvert’s original ventriloquised voices. One of these labels describes that ‘Hartree built this model from the construction toy Meccano while waiting for a full-size analyser to be built’.
This label implies that the Trainbox was a type of ‘stopgap’ object developed before a full-size analyser (the Manchester Machine) could be built, conflating the Trainbox with the original differential analyser that Hartree built in 1934 and dismantled in 1947, after which he built the Trainbox. The challenge of multiple interpretations is magnified when it is understood that this description of the Trainbox, as a ‘stopgap’, did not feature in either the original object or Calvert’s ventriloquised object voices. Instead, this interpretation is part of a new set of voices that have been ventriloquised through the object by the Museum so that it can better tell the story of Hartree’s broader career achievements. This example demonstrates the incongruities that are caused when an object is made to speak with a number of simultaneous ventriloquised voices, which further confuses the narrative of the Trainbox on display, through the introduction of new incongruous elements. The result is that while the label correctly attributes the construction of the object on display – the Trainbox – to Hartree, who built it alone in 1947, this contradicts the title given to the object – ‘A working model of a differential analyser, 1934’ – which implies that it is the original analyser Hartree had built with Arthur Porter in 1934. This means that despite the object on display very clearly being the Trainbox that was built in 1947, the voices that the object is made to speak with tell audiences different, often conflicting stories, simultaneously implying that the object is the original analyser, a working model, a stopgap in preparation for the Manchester Machine, and the Trainbox. The potential confusion caused by the addition of these new voices — to make the object tell different stories — supports that idea that the use of models ‘leads to powerful fictions being constructed’ (Vergo, 1989, p 31).
The many stories that the object tells its audiences – as displayed in the Information Age gallery today — support the main contention of this paper: that the voices and stories of the Trainbox have been changed a number of times within the Science Museum since 1949. The analogy of ventriloquism has allowed us to explore how the voices of the object were changed and ventriloquised on a number of occasions at a practical level to make it tell different stories. The paper has provided an alternative perspective on these changes, suggesting that the addition of these voices has led the Trainbox to become a ‘material polyglot’ in the Information Age gallery today, simultaneously speaking to audiences with its original and ventriloquised voices. While the analogy of ventriloquism is a useful tool to reframe how objects develop in the Science Museum, the idea of a museum object as a ‘thing that talks’ works just as well without it. However, by using the analogy, the article has been able to move beyond separate discussions about accessioning, issues of space, and internal politics as explanations of the changing meanings of an object, instead presenting a more cohesive explanation of how and why objects’ voices are used in different ways.
This paper has brought attention to – and provides an alternative perspective for – understandings of how an object changes at a ‘hands-on’ level within the Science Museum, exploring the effect that these changes had on the way museums present a particular object to its audiences. This approach has demonstrated an alternative way to understanding how stories are created and changed – as part of the process by which museums understand, interpret and communicate objects to audiences through their collection and display in museums.
Acknowledgements
This article could not have been written without the help and support of my supervisors, Dr Charlotte Sleigh and Ben Russell, as well as many other staff and friends at both the University of Kent and the Science Museum. I am also grateful for the comments and feedback from my fellow ‘Wunderkammerites’ on this article during the early stages, as well as Kate Steiner and Richard Nicholls for helping a first-timer through this process.
Tags
Footnotes
Back to text
Back to text
Back to text
Back to text
Back to text
Back to text
Back to text
Back to text
Back to text
Back to text
Back to text
Back to text
Back to text
Back to text
Back to text
Back to text
Back to text
Back to text
Back to text
Back to text
Back to text
Back to text
Back to text
Back to text
Back to text
Back to text
Back to text
Back to text
Back to text
Back to text
Back to text
Back to text
Back to text
Back to text
Back to text
Back to text
Back to text
Back to text
Back to text
Back to text
Back to text
Back to text
Back to text
Back to text
Back to text
Back to text
Back to text
